https://www.bilibili.com/video/BV1xL8RzdEBX/
https://www.oreilly.com/videos/pcb-signal-integrity/9780133548563/
一、背景
1.1 历史视角
发展历程(随着越来越快的信号上升时间):
- 无;
- 走线、过孔的电感:EMI、串扰、地弹(旁路电容)反射、无损传输线、特征阻抗;
- 电阻随频率变化:集肤效应、介电损耗、有损传输线
- 微波的新问题
作者的书:PCB Currents How They Flow, How They React
1.2 理解电流
电流是电子的流动。一个电子流入,就有一个电子流出。电流在回路中流动,因此 ** 每一个信号都有一个回流路径,知道这个回流路径在哪里很重要。** 电压(电势差)存在于两点之间。明确电压的参考点很重要。
信号线与回流路径围成的区域的面积称之为环路面积。
1.3 理解频率、上升时间、谐波
2πf=ω。
上升时间:波形从 10% 到 90% 所需的时间。0%-10%:起始特性;90%-100%:截止特性。不同技术在起始和截止阶段的特性不同,但在中间阶段的特性相似。下降时间定义同理。有些技术可能将其定义为 20%80%。这可能是因其元件特性不同,也可能只是文字游戏。
对于一个正弦波,数学上,上升时间可表示为

08:26
傅里叶分析:每一个信号 / 曲线,都可以用足够数量的不同频率、不同相位的正弦波在精确再现。
谐波:设波形频率为 f,则其 n 次谐波的频率是

10:21
谐波数量越多,近似度越好。谐波数量越多,上升时间越短。我们的系统需要处理波形里包含的谐波,而不只是基频。
上升时间决定了存在的谐波的数量。这里有一个例子:对于一个 1MHz 的波形,至少需要 11MHz 的带宽,才能得到像 11 次谐波组成的那个样子的方波。
带宽取决于我们需要通过多少次谐波,这决定了我们系统中的上升时间会多好。
信号完整性的关键问题是上升时间,而非频率。
1.4 可视化电磁场
电流是电荷的流动。信号是一个点概念。

01:09
上图被称为电耦合 / 电荷耦合 / 容性耦合。
法拉第定律:变化的电流会在相邻的导线中感应出电流。这被称为磁耦合 / 感性耦合。
电流、电场、磁场同步地沿着导体传播。
一个信号耦合到相邻的导线时,
- 坏:造成串扰
- 好:这是一对差分对。耦合对其有益。
一根导线 / 天线向外辐射,被外面某个天线接收时,
- 坏:非法使用无线电
- 好:合法无线通信。
因此,我们作为工程师,有责任最大化有益辐射,最小化有害辐射。

地平面到走线的距离。这与 EMI 电磁串扰有关。

带状线与微带线的区别。这也与 EMI 电磁串扰有关,但不代表微带线在 EMI 角度不好。

线宽的区别。这与信号传播速度有关。信号传播的速度取决于电磁波所处的环境。电磁波在空气中的传播速度更快。在空气中的电磁场更多→信号传播速度更快。

线间距的区别。这与串扰 / 耦合有关。

缩放倍数的区别。可以发现电磁场没有区别。两种情况下,传输线的阻抗也是相同的。
电磁场影响:
- 电磁干扰(EMI)
- 传播速度
- 串扰
- 阻抗
- 等等
从电磁场角度思考,可以对信号完整性相关的问题有更深入的了解。
1.5 处理传播速度和时间
电信号以光速传播。光速在不同介质中,与其相对介电系数有关。

01:12
信号传播的速度并非由电子在导体中移动的速度决定,而是由电磁场穿过其流经介质的速度所决定。
对比带状线,微带线中信号速度更快,因为一部分电磁场在空气中传播。关于传播速度的具体计算参见原片 05:38 部分。
PCB 中的时间问题主要有两种:
- 设定精准的传播时间;
- 让两条 / 多条走线的传播时间保持一致。
如果要精确设定传播时间,则最好使用带状线,保证环境的均匀性,并对 PCB 所使用材料的相对介电系数有精确了解。
若是让两条 / 多条走线的传播时间保持一致,则需要让走线在相同环境下布设,并让走线的长度保持一致(在系统设计的时许容差范围内,除非是差分走线)。

浅灰色为玻璃纤维编织物,黑色部分为树脂填充。
现实中,在非常快速的电路中,“保持相同的环境”可能是一个棘手的问题。
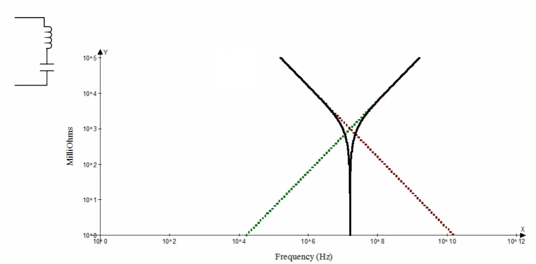
1.6 理解阻抗
对于理想化的三大无源元件:
| 直流 | 超高频率的交流 | 电压相位偏移 | |
|---|---|---|---|
| 电感 | 0 | ∞ | +90° |
| 电阻 | R | R | 0 |
| 电容 | ∞ | 0 | -90° |
对于纯电阻,电压曲线和电流曲线仅为上下平移。平移的量由欧姆定律决定。
无功相移是 90°。对于纯电感,电压曲线比电流曲线提前 90°到达峰值。对于纯电容,电压曲线比电流曲线延后 90°到达峰值。

02:29
对于 LC 电路(无论是串联 LC 还是并联 LC),相移随频率从 -90°到 +90°变化,阻抗从 0 到无穷变化。
对于阻抗曲线(阻抗随频率变化,对数坐标轴),电阻↔曲线水平,R=R。电感↔曲线是线性上升的,
对于具体 LC 电路,串联 LC 的 X 仅需将 L 与 C 的 X 相加,并联则需使用并联组合公式:


串联 LC,在谐振点,阻抗将会真正的归零。

并联 LC,在谐振点,阻抗将会趋向于无穷大。

混合 LC。
因此,对于一般的电阻、电容、电感串联,阻抗可能是 0 到∞间的任何值,相移可能是 -90°到 +90°间的任意值。
对于一般的阻抗,电阻 R 来自电阻,电抗 X 来自电容、电感(其容值 / 感值与电抗的关系在上方已给出)。阻抗
功的消耗只会在实部 R 里发生。在虚部的 X 里,任何进入电容的能量都会回到电路里,任何在电感里被消耗的能量都会去到磁场里,而当电流消失时,磁场崩塌,能量又回到电路中。实际被消耗掉的功,仍然用我们熟悉的
因此,在这门课中,我们会遇到:
- 旁路电容的自谐振频率;
- 旁路电容的串并联谐振频率;
- 旁路电容的 ESR(等效串联电阻),与焊盘、走线的电阻电感有关。
- 受控传输线
- 差分阻抗
- 走线终端(特别是损失传输线的)
二、消除反射
每次信号通过走线时,都会有反射存在。问题在于我们是否在意反射的存在。
2.1 理解反射
只要有信号沿导体传播,它就会被反射回导体的起始端。只有一个例外。我们需要进行特殊设计,来满足这个例外条件,以避免反射。
2.1.1 反射长啥样?
参见视频 02:40 开始的演示。
- 反射的符号和幅度取决于导体末端(阻抗);
- 有时候反射足够小,就不会干扰信号。
2.1.2 为什么我们以前没有考虑过这个问题
07:41。
走线的“长度”决定了反射的影响。其他条件相同,走线越“短”,反射的影响越小。
这里的“长度”指的是以时间单位衡量的走线长度:
- 非常短:信号到达走线末端的时间远短于其上升时间;
- 非常长:信号在到达走线末端时,驱动端的信号早已稳定;
- 临界长度:当走线的双向延迟(信号的往返时间)等于其上升时间。

频率越来越快→上升时间越来越短→同等信号传播时间时,临界长度越来越短,最终短到普通 PCB 的尺寸内。
2.2 使用传输线解决问题
2.1 中提到的例外就是一种以特殊方式端接的传输线。
传输线的几何形状一般是受控的,因此也称其为受控阻抗走线。
一个传输线模型一般以一条走线与一个回流路径组成。将其看作传输线上的一个一个小电感与走线和回流路径之间的一个一个小电容。在现实中,这些电感和电容是分布连续存在的。
为了简化模型,通常表达为一个一个交替的集总式纯电感和纯电容,每一个的容值和感值分别为
对于理想的无限长传输线,如果输入阻抗、终端阻抗与传输线的阻抗相同,那么将不会有任何反射发生。对于实际有限长传输线,如果终端阻抗与传输线的阻抗不相等(传输线内部某点的阻抗不连续),那么阻抗变化的那点会发生反射。
反射系数ρ决定了反射的符号与幅度:
其中,
09:13 动画演示。
将传输线与回流路径看作对称的,即回流路径上同样存在分布式电感。当终端阻抗合适时,所有能量被终端吸收,没有能量返回传输线。当开路时,实际上的末端是一个电容器,能量会 100% 返回。对于短路,能量通过短路,以对称的方式 100% 返回。
因此,在 PCB 上解决反射:
- 把走线设计的和传输线一样;
- 在终端接上正确的负载。
如何设计传输线?一般需要控制线宽、线对地平面的高度、板材料、线厚度等等参数。
很多网络上的阻抗计算器基于 1990 年代的公式,这些公式以今天的视角来看不够准确,尤其是对差分走线的阻抗来说。(这套课程发布于 2014 年)
公式见视频 14:15。
如何进行端接?很棒的参考文献:Termination Techniques for High Speed Bused, Ethirajan and Nemec, EDN, 2/16/98. p. 135 。采用何种终端技术是其他工程师的活,但 PCB 设计工程师应在未采用相关技术时及时提出疑问。
常用终端技术:
- 并联;
- 交流;
- 串联;
- 戴维宁;
- 二极管。
并联 :远端连一个
优点:
- 可接到地 /Vcc;
- 阻值很容易确定;
- 只需一个额外元件;
- 在线路上存在分布式负载时,表现尤为出色。
缺点:
- 能量会持续在电阻中消耗;
- 有些时候功率要求太高了;
- 有时,可能对信号电平与噪声裕量造成负面影响。
交流 :远端串联
优点:
- 和并联表现一样好,并可以阻断直流电流。
缺点:
- 容值不好选择(太大:功耗过大;太小:性能不稳定,产生过冲 / 下冲);
- 需要两个元件;
- 对于长串相同的比特流,可能导致严重时序问题(对于 100% 占空比,电容器会充电,可能导致问题)。
串联:将电阻放在传输线的起始端,电阻值与驱动器的输出阻抗相加,等于传输线的阻抗(
优点:
- 只需一个元件;
- 几乎不额外增加功率,完全没有直流负载。
缺点:
- 难以优化
的值(输出端逻辑 0 和 1 的输出阻抗可能不同); - 在信号被
吸收之前,会有一个反射回来; - 适用于远端为集中负载(lumped load)或者星形布线(star routing)的情况。
戴维南和二极管几乎无人使用(特别是在今天)。戴维南是完美匹配,但静态电流消耗过高,工程上难以接受;二极管只是简单的钳位电压,对于复杂的反射无能为力。
应该把传输线的阻抗设计为多少?有些人认为 50Ω最优,但课程作者不确定。
一般来说,在 30Ω-80Ω之间。
- 太高:加剧噪声问题;
- 太低:导致功耗 / 电流问题。
重要的是应该在走线各处保持恒定。
与外部相接时,自然要与外部的阻抗保持一致。但在内侧,阻抗的绝对值并不重要,但必须保持不变,尤其是在跨层时。另外,终端匹配必须与传输线的阻抗相符(这可能是一般规定其为 50Ω的原因之一,比如我只想买一种电阻,而可以让所有终端都匹配)。
一般的制造商能将精度控制在 +/- 3%-5% 左右(嘉立创的免费精度是 +/- 20%,付费则可选 +/- 10%)。
2.3 避免掉入受控阻抗布线的陷阱
如果走线的几何形状失控,那么反射将可能会在失控处发生。所以我们需要在走线的整个长度上控制其几何形状。

左:最差,但是省空间,简单(从电阻到 bga 焊盘的那一段实际上是未端接的)。
中:最好,但需要嵌入式器件。
右:其次,但需要更多空间与更复杂的走线。
对这三种的仿真见视频 03:09。
Y 型连线的问题。对于两叉和主干均为 50Ω的走线,分叉点处会为 25Ω。
解决方案:
- 两叉的阻抗加倍,端接处与加倍的阻抗对应改变;
- 把分叉点挪到驱动器附近,使得其距离远小于临界长度(一般来说,是走线,而非驱动器,需要看到正确的终端匹配);
- 在分叉点附近,分叉的起点,各加一个 50Ω串联终端电阻,在分叉点末端继续使用 50Ω终端。但这可能会让信号电平损失掉一半,或许将带来严重影响。
走线在不同层切换时,不同层的阻抗需要保持相同。
当信号线的参考平面相同,即回流路径在同一平面时,没有问题。但当参考平面改变时,情况会变得不可预测。我们可以选择主动在过孔旁放旁路电容,来给信号提供回流路径;或者干脆不管他,侥幸无事发生。更严格的工程师会在设计规范中禁止这种情况。
UltraCAD 选择不管,侥幸无事发生,但也接受“禁止这种设计”的意见。
重点在于:** 不要在地平面不连续 / 挖槽的上方布信号线。** 这使得回流信号需要绕远路,而非贴着走线的下方。
有三个不要这么干的理由(参见 3.2),与本节相关的第一个:这会造成阻抗不连续,因为参数开始变得不受控。
小心分支(不同元件连到同一根走线上)。我们可以弯曲传输线本身,但应当让从传输线到元件的分叉长度远小于临界长度。最好直接在接收器端进行终端匹配。不要存在未端接的短截线:从传输线的角度看,这会引发反射;从 EMI 的角度看,这就像一根天线,会向外界传播电磁辐射。
三、最小化 EMI 和串扰
3.1 理解耦合
辐射电磁能量(Radiated electromagnetic energy EMI)与环路面积直接相关。因此,要最小化辐射,就要最小化环路面积。方法:** 每条走线,都应尽可能的贴近连续、相关的底层平面。** 这是信号完整性角度的第一设计准则。
- 连续:无开槽、无断裂;
- 相关:信号与平面相关,是回流实际所存在的平面(模拟信号对应模拟地、数字信号对应数字地等等);
- 底层平面:在信号线直接下方的参考平面。
EMI 和串扰的表现形式可能不同。EMI 看起来像是辐射信号,串扰则更复杂。
- 串扰是一种点概念
- 它有两种不同的根本原因
- 这会产生两种不同的信号,其方向相反,且会相互作用。
- 其波形显著不同,随耦合长度的变化表现出不同的特性。
- 其均不像是最初导致串扰的干扰信号。
在驱动线上,信号边沿的那点,会导致平行的受害线上产生电容与电感耦合,导致串扰。电容耦合的串扰有两个,一个与原始信号方向相同,另一个相反。电感耦合的串扰有一个,方向与原始信号方向相反。最终的串扰信号是这俩的综合。
前向电容串扰可能与电感串扰抵消,特别是在带状线环境中。因此,反向串扰分量通常问题更严重。
08:55。对于前向串扰,由于原始信号也在同步向前传播,因此当前的耦合信号会不断增强前一个耦合信号,前向串扰信号会越来越大,直到耦合区域的末端后,由于不再发生新的耦合,受害线上的耦合信号不再变大,但会继续存在,直到受害线的尽头。所以,前向串扰信号的振幅随耦合长度的增加而增加,但宽度不变。
10:50。对于后向串扰,受害线上的与信号线信号边沿的对应点,产生耦合信号后,会往后走。由于原始信号(产生耦合的位置)不断向前,因此串扰信号的宽度会不断增加(最终,宽度是耦合长度的两倍),但振幅不变。
别忘了反射。如果受害线的驱动端(近端)没有正确端接,那么后向串扰信号最终会反射,并返回受害线的远端,这会耗费很长的时间。
在原始信号的上升过程中,串扰信号的振幅也会一并上升,直到原始信号上升完成。这使得串扰信号看起来像是一个对称的梯形。因此严谨地说,后向串扰信号的宽度是两倍的耦合长度加上一个上升时间。
总结,前向串扰:
- 振幅随耦合长度的增加而增加;
- 宽度不增加。
后向串扰:
- 宽度随耦合长度的增加而变宽;
- 振幅只增加到一定的值(称其为临界长度),随后不再增加;
这里的临界长度,实际上和之前反射里提到的临界长度是同一个概念。
17:20 微带线仿真。27:58 带状线仿真。带状线环境中,容性前向串扰和感性后向串扰倾向于精确抵消,所以在理想环境中,受害线远端不会看到前向串扰。
因此,理想带状线环境中,对于在近端正确端接的走线,无论两条走线多近,无论耦合区域多长,远端都不会发生串扰。
串扰耦合系数:
其中,
总结:
- 为最小化 EMI,需要最小化环路面积;
- 分离走线,以最小化串扰耦合;
- 带状线环境中,前向串扰最小;
- 后向串扰可以通过近端端接控制。
3.2 最小耦合布线
3.2.1 最小化回流环路面积
考虑连接器内部的环路面积

如有可能,为每个信号旁提供一个回流路径。
注意过孔。
- 注意过孔之间的间距,使得回流路径不会被挡住;
- 最好每个信号过孔旁都有一个紧邻的回流过孔。
注意回流路径在哪里。参考 2.3 中的走线在不同层(特别是跨多个平面)之间切换的情况。不要忘记垂直方向的距离。
不要在不相关的平面上布线。如果一条数字信号线经过了模拟地平面,回流路径要么在数字地上绕路,这会增大环路面积;要么通过某种方式进入了模拟地平面,这更糟糕,让区分地平面变得完全失去意义。
避免在参考平面上开槽。
- 这会使得绕远的回流路径变得像天线,产生 EMI;
- 此外,两条间距合理的信号线对应的回流路径,可能在绕过槽时,距离变得过近,这违反串扰隔离原则。即使信号线上的信号没有干扰,回流信号可能会互相干扰;
- 最后,这会产生很多阻抗控制方面的问题。
回路可能很微妙(subtle)。
信号在走线上流动时,实际上会穿过信号与参考平面之间的分布式电容。这与天线很像:信号流过天线,沿着与天线另一极 / 某种接地之间的分布电容耦合回来。
对于同轴电缆,如果外层屏蔽层实际上没有正确接地(与“机箱”等之间存在电势差),那么实际上,屏蔽层与“机箱”之间会存在分布式电容,辐射出 EMI。
3.2.2 在带状线环境中布线
这不是必须的,但可能很有帮助。从 EMI 与串扰角度,微带线环境也可以做的很好,但带状线环境下可能更好,且更简单。
3.3.3 分离走线
回忆串扰耦合系数的公式,当 D 越大,串扰越小。
3.3.4 避免使用保护带
对于同等间距的走线,保护带是一条干净的导体,可能反而会传播串扰。这不一定起效果。
四、设计差分走线
4.1 比较单端、差分和共模
4.1.1 单端与差分
单端信号就是一个驱动器,一个接收器,一根信号线。回流信号通过地平台从接收器回到驱动器。
对于差分信号,信号从差分对中的一条发出,从另一条回来。理论上,两条走线上的信号等幅反向,不会有信号进入地平面。
差分信号优点:
- 更好的信噪比;
- 接地连续性不再是问题;
- 可以得到非常精确的信号逻辑判断时机(Signal Timing)。
缺点:
- 每个信号需要两根线。
4.1.1.1 更好的信噪比

01:35
对于单端信号,假设接收端对信号放大 g 倍,信号线受到的干扰为

02:52
对于差分信号,
04:38。对于内部噪声,当信号强度小于噪声强度时,系统将完全无法工作。而对于纯共模噪声,只要信号强度不为 0,系统就可以工作。放大器会完全抑制所有共模噪声。因此,如果噪声主要是共模噪声,则差分信号优势明显。
4.1.1.2 接地连续性
由于信号从一根线过去,又从另一根线回来,地上将不再有会产生影响的噪声,而只有理论上可以被完全抑制的共模噪声。因此,理论上,电力分配系统的实际样子不再重要。
此外,由于信号不经过地平面,因此也不用再去关心信号路径下方的地平面是否完整等问题。
4.1.1.3 信号逻辑判断时机
对于单端信号,我们需要高电平阈值和低电平阈值。信号低于低电平阈值时是逻辑 0,高于高电平阈值时是逻辑 1。但高低电平阈值中间的区域实际上是不确定的。
对于差分信号,仅需当正信号在负信号上时,是逻辑 1,反之是逻辑 0。交点是明确的,没有不确定的区域。
不过,即使在单端信号中,我们也有容差设计,来让系统正常工作,因此这个优势可能并不明显。
综上,提升信噪比可能是差分信号最重要的优势。
4.1.2 差模与共模
有些人说,对于差分(奇模),信号从一条走线过去,而在另一条返回。对于共模(偶模),信号在两条走线上向同一个方向传输。
这个理解不完善。时刻记住每条信号都有一个回流。
作者认为更好的解释是:
- 差分:按照我们的设计,去我们想让它去的地方的信号;
- 共模:其他所有信号。
举例:一个 10mA 的信号,由 9.95mA 按我们的预期返回(差模),另外 50uA 从其他地方返回(共模),那么信号线上是 9.975mA 的信号与同向的 25uA 回流,返回路径上则是 9.975mA 的回流信号与反向的 25uA 回流。差分线上的情况一模一样。
但实际上,我们不知道剩余的 50uA 回流信号在哪。而且由于回流路径(环路面积)现在不受控,可能会产生额外的 EMI。偶然因素、不当的设计等都可能是其产生的原因。
对于防止这种情况发生:
- 从源头阻止;
- 利用电容将其短路。
上述电容来源于旁路电容和平面电容。
作者的设计规则之二(之一见 3.1):为了防止产生 EMI,使用电源与地平面之间的平面电容。
4.2 理解差分阻抗

对于耦合的差分对里的一条线,其阻抗来源于自身特性,加上耦合而来的电流通过欧姆定律算出来的值。
这不好。不过大部分时候,我们可以忽略掉这个额外的阻抗。比如:
- 线距很宽,k 很小,忽略;
是 0,无; ,忽略; 是直流,无; 与 无关,则 的平均是 0,无(这实际上就是串扰)。
06:15:差模和共模各种情况下的阻抗与位置。
4.3 避免 PCB 中差分设计的陷阱
典型的,也是作者推崇的高速差分信号设计规则:
- 差分对下的接地必须完整;
- 两条线必须等长;
- 走线必须尽可能接近彼此;
- 必须遵循差分阻抗规范;
- 走线之间必须处处等距。
有人反对:不需要完整地平面(因为理论上地上没信号);不需要等长,因为时序问题的容差更大。
作者认为这两点不可能同时成立。
当差分信号真正的相等反向时(这需要线路完全等长),地上确实没有信号。但如果走线不等长,那么无法做到相等反向,线上会存在净电流,则地上必然存在信号。
不等长的原因可能有很多:
- 实际上难以精确等长;
- 驱动器自身的偏移;
- 传播速度不同(走线所在的层不同;在超级短的上升时间时,前面提到的玻纤编织和树脂填充的区别也会产生影响)。
非等长会导致:电路中其他部分产生净共模电流,回路面积不再可控,引发 EMI 等问题。
因此,必须等长,或者走线下方必须有完整的参考平面。最好都实现。
对于“走线必须靠近彼此”:越靠近,环路面积越小,EMI 越小。
11:19:有人认为如果良好铺地,那么每条走线实际上是独立的单端走线,回流路径在地平面上。但实际上这仅在信号还未到达接收端时成立。当信号到达接收端后,地平面上的回流信号会变成一个涡流,然后消失。此时环路面积被明显扩大了。因此,最好直接缩小差分线的间距。
另外,离得越近,噪声越“共模”,越利于消除共模噪声。
对于差分阻抗规则,由于前述规则,差分阻抗会较为明显。为避免反射,应严格遵循差分阻抗设计规则。
对于间距不变规则,由于间距影响差分阻抗,因此为了消除反射,需要控制间距不变。
如何取舍等长和等距问题?
等长优先,因为不等长会立刻产生共模信号,导致 EMI 问题。但如果间距不等造成的阻抗不连续问题在临界长度范围内,则影响小得多。
因此:
- 差分对下的接地必须完整,因为信号难以做到精确的相等反向;
- 两条线必须等长,为了消除共模噪声;
- 走线必须尽可能接近彼此,为了抑制 EMI 与共模噪声;
- 必须遵循差分阻抗规范,因为走线紧密相邻;
- 走线之间必须处处等距,为了恒定差分阻抗。
这些规则是互相关联,层层递进的,不能片面孤立的争论。
总结:
- 除非遇到信号完整性问题,否则差分对其实不需要特别的设计规则;
- 不能对设计规则断章取义;
- 等长规则是最重要的;
- 实际中,共模信号无法避免;
- 因此即使做对了其他所有规则,也应该加上一个平面电容。
五、解决电源分配系统(PDS)问题
有两大问题:
- 如何确保开关时有足够的电荷来满足需要;
- 如何控制开关噪声。
5.1 理解电源分配系统问题
对于两个芯片串联,我们只能把 vcc 和 gnd 通过引脚和焊盘接在一起,而这俩上面有寄生电感。因此当输出变化时,其电压相对内部 gnd 是正常的,而相对经过了寄生电感的外部 gnd,会出现地弹效应,即电压先短暂上升,后下降。这会导致电压降过低电平阈值的时间延后了。因此,地弹会拖慢系统运行速度。

因此,目前有两个问题:
- 电荷如何抵达其被需要的地点;
- 如何控制地弹。
这个教程使用英制单位。电荷速度是 6 英寸每纳秒。那么以开关为圆心画一个半径 6 英寸的圆,如果上升时间只有 1 纳秒,那么电荷只可能从那个圆形以内的范围过去。
事实上,一半的开关需求电荷必须在 3 英寸范围内,四分之一的开关需求必须在 1.5 英寸之内。
可能的电荷来源?
- 电源:通常伴随大量电感,而且距离很远;
- 旁路电容:“电子小水桶”,但多大?并且其本身有寄生电感?如何摆放?
- 平面电容:把电源层和地平面层放的很近:实际上真的存在吗?有多大?优点是通常寄生电感很小,因此即使容量小,也可以很快;电荷分布在一个区域内,而非像旁路电容那样在一个点。
可能的电荷来源示意:

电容类都是一个峰,电源是一个缓上升的曲线(由于其大电感)。
平面电容如果存在,则是最快、最小的。
小旁路电容(0.01)速度和容量均其次。
大容量电容(0.1)最慢,容量最大,填补主要空缺。
如果发现即使是平面电容,也不够快,那么很不幸,系统上限就到这了。需要更有创意的解决方案。
如何控制地弹?仍然是电容。最理想的是内部链接元件之间的 vcc 与 gnd,并在其之间连接一个电容,但很不幸,这显然无法实现,我们无法绕过引脚。
现实的做法是在电路板的 vcc 与 gnd 之间连接电容。引脚上的寄生电感无法消除。同时注意,外部的电容与其焊盘上也有寄生电感。但这仍然是现实中的最优方案。
那么,关于旁路电容,多少?在哪?怎么走线?有传统法和阻抗法两种方法,详见 5.2。
旁路电容和平面电容虽然能解决本课提到的问题,但并非完整的解决方案。还有其他需要考虑的因素。
5.2 对比传统和阻抗解决方案
传统方法其实就是参见 5.1 的图 2,用多个电容组合:
- 电源;
- 大容量电容(0.1);
- 更小的旁路电容(0.01);
- 分布式平面电容。
典型具体使用方式:
- 对于每个供电需求,使用 1-2 个旁路电容;
- 使用低电感的元件、低电感的焊盘和过孔;
- 靠近需求电荷的地方;
- 但还有一些问题,比如使用走线连接焊盘,还是直接打过孔到平面(此时设备的 vcc 和 gnd 也是直连平面,因此从设备的 vcc 到电容,或者从设备的 gnd 到电容,都需要经过平面)?靠近 vcc 还是 gnd?
有人认为,问题不在于阻止噪声进入设备,而是阻止噪声从设备进入平面。平面应当是安静的。
因此,使用单独的走线直连设备的 vcc 和 gnd,可以把开关噪声阻止在走线内,而不进入平面。
但另一方面,我们需要减小走线的电感,因此使用直连平面法,还是单独连线法,走线的电感会成为棘手的问题。两种走线方式谁的电感小,一直是争论不休的话题。
现实中,省空间经常会变成最重要的需求,因此最终,我们还是更常用直连平面法。
那么,靠近 vcc 还是 gnd?
作者认为,大多数信号以地作为参考,我们真正想做的是保护参考的信号完整性,因此作者认为应该把旁路电容放在地旁边,来保持参考的良好和纯净。
有些 CMOS 电路实际上参考 vcc 和 gnd 的中点,因此此时,作者会把电容放在中间,是的 vcc 和 gnd 到电容的电感值差不多。
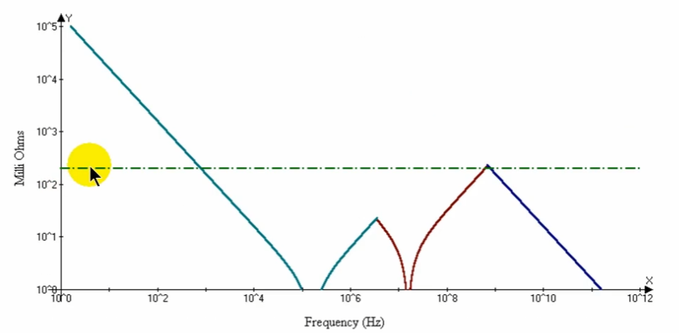
来看阻抗法。假设:我们希望电源的阻抗曲线是在直流时高,在其他任何地方都低(这意味着没有太多的电感,这样就可以短路共模信号,并消除所有噪声)。
事实上,我们希望除了直流以外,所有情况都是短路的,不过这不太可能。这条阻抗特性曲线永远向右下倾斜,因此显示出电容特性。
对于现实中的电容,均有寄生电感。0.01uF 的电容可能有 10nH 的电感,此时谐振发生在 16MHz,阻抗曲线类似向下的箭头。这和我们的需要不太一样。
但如果把 200 给个上述电感并联,阻抗曲线会变成更像是直边三角形的向下箭头。这仍然不对,但好多了。
如果再加上 20 个 50uF(20nH)的电容,我们可以覆盖更宽的频率范围。
如果再加上平面电容(可以用电容器的决定式算出容值,假设三英寸见方,平面间距 10mil,容值是 800pF 左右),比如一个 905pF 的平面电容,这一般会没有电感,因此阻抗特性曲线就是向右下减小的直线。效果如下图所示:

基本达成需求,但有一个问题:曲线相交点(混连出现的新的反谐振点)的阻抗实际上会趋于无穷。如果有噪声的频率正好落入这个范围,那他将无法得到有效处理,将会污染电路,甚至可能向外辐射噪声。很不幸,这一个现象较为常见。
作者不打算在这里讲详细的理论,具体推导见作者文章 *”ESR and Bypass Cap Self-Resonant Behavior, How to Select Bypass Caps”*。ultraCAD 提供单独的 pds 阻抗计算器。
现实中,问题不会很好,但也不会那么糟,因为电容还有寄生串联电阻 ESR。越大的 ESR 可以越强烈的对阻抗特性曲线平滑,”削峰填谷“。仔细调整各项参数值,可以达到非常好的效果。

阻抗法的总结:
- 仔细选择电容类型;
- 低电感的连接和布线;
- 考虑平面电容本身;
- 用多种电容值组合来达到理想的响应;
- 分散电容值,不要让自谐振频率集中(推论:别只用两种容值。多种容值自身就可以平滑阻抗响应);(趣事:三十年前的电容值公差更大,反而有利于这里的使用)
- 中等的 ESR 比低 ESR 更优;
- “放置”本身不太重要,因为我们一直在从阻抗曲线的角度思考问题,但把电容器放的足够近仍然重要,以保障电荷能及时到达。
总结:
- 在层叠设计中引入平面电容;
- 作者认为阻抗法更优,但为了电荷的输送更及时,把电容放近点仍很必要。
六、理解高频阻抗损失(趋肤效应、介电损耗与有损传输线)
一般认为电阻独立于频率,但趋肤效应与介电损耗会使得其开始相关。
6.1 趋肤效应
低频下,电流密度在导体横截面上均匀分布。但高频下,电流密度更集中于横截面的外沿。电流倾向于沿着外围流动(并非只在绝对表面流动)。这就是趋肤效应。
原因:法拉第定律,电流也可以在自身导线中感应出反向的电流。感应电流流向磁场最强的地方——导体的中心线。
集肤效应与导体的形状无关。集肤深度不受导体形状影响。
可以假设电流从表面到趋肤深度时是均匀的,趋肤深度内无电流,但实际上电流密度随深度成指数下降。假设与实际的情况,对电流密度的积分结果,也就是电流,是相同的。这也可以当作趋肤深度的一种定义。
因此,考虑到欧姆定律与电阻的决定式,趋肤效应会改变电流与电压的关系,这有可能对走线与信号传输产生影响。
趋肤效应是有损传输线的损耗的“元凶”之一,也会影响我们控制走线的阻抗与端接。
电流和温度也会受到影响。
信号完整性方面,随频率升高,走线的电阻增大,因此高频谐波对比低频谐波,会面临更高的电阻和压降,这意味着高频谐波被衰减了。这使得波形失真,最终导致上升时间变慢。
6.2 深入学习趋肤效应
趋肤深度与走线截面形状无关,与频率有关:
这个概念仅当其小于导体半径的一半时,才有意义。
交叉频率(Crossover Frequency):趋肤深度刚好等于导体半径(走线厚度一半)时的频率,也就是趋肤效应开始生效时的频率。
邻近效应(Proximity Effect):当趋肤效应生效时,考虑传输线和回流路径,由于电荷异性相吸,更多的电流会流在靠近地平面一侧的趋肤效应区域内,这会进一步减少走线的有效截面积。
对于两条距离很近的走线,比如差分对,同理,电流会倾向于流在靠近另一条走线的区域内。
地平面效应:由于邻近效应,地平面上的回流也会更靠近走线,这使得回流路径的电阻可能不再能视为 0Ω。
这个效应很难量化,一般认为可能导致有效电阻增加大约 30%。这个估计的误差很大。
UltraCAD 的 PCB Trace Calculator 可以计算趋肤效应。
6.3 介电损耗
考虑走线、回流路径以及中间夹着的介电材料的这样一个“三明治模型”,对于一个变化的信号,当信号沿着走线传播时,它会在介电材料里建立一个电场。随着信号的移动,电荷会试图在介电材料的两面间来回摆动。这些电荷来自介电材料的原子结构,所以它们不会真正的移动出原子。信号极性变化使得这些电子在震动,信号频率越高,这种介电材料内部的震动越剧烈。
这种震动需要能量才能完成,而能量就来自信号能量的损失。
频率越高,极性改变越快,震动越强烈。因此高频谐波会受到更多的衰减。这和趋肤效应的表现很像。因此,这个效应也会导致上升时间减缓。
这个效应可以等效为如下的电路:走线和平面之间串联:电阻 R 与电容 C。R 是 ESR,C 就是传输线中的电容。阻抗
材料不同,ESR 和损耗角正切也不同。更贵的材料可能拥有更低的 ESR 和损耗角正切。但不管什么材料,损耗角正切都会随频率增大而增大。
阻抗的实部 ESR 是消耗功率的部分,也就是信号功率损失之所在。
6.4 处理有损传输线
趋肤效应和介电损耗效应都会导致高频谐波衰减,上升时间变慢。
对于有损传输线,模型如下:

这使得传输线的阻抗变成了一个复数。相移不再是 0,阻抗值会随频率变化。因此不会有单一的元件可以匹配这种传输线。
解决办法是均衡(补偿):把高低频谐波重新平衡成它们本来应有的样子。
- 主动(有源)补偿:放大被衰减的高频谐波;
- 被动(无源)补偿:衰减那些没有经历那么多衰减的低频谐波。
在:
- 前端:预补偿;
- 末端:后补偿。
有源的方案很多,比如在信号第一次变化时为其提供额外增益,若在下一个时刻信号未变化,则减小一级增益。
无源方案的示例:在信号线上串联一个“并联 RC 高通滤波器”,低频走电阻被衰减,高频走电容直接通过。这有代价:信号整体的电平都变低了。
七、处理特别短的微波(甚至短过过孔)
问题:非均匀环境:
- 时序;
- 阻抗控制。
过孔:
- 焊盘 / 过孔的寄生电感;
- 过孔自身的阻抗控制;
- 过孔内部的短截线和破坏性反射。
在 2014 年,1-6 中的内容,除去阻抗布线的规则以外,大多都是受业界广泛认可的。但本节内容尚未在行业中建立起被普遍接受的指导方针。
7.1 非均匀环境
还是反复出现的玻璃纤维 - 树脂编织带模型。位于玻纤或玻纤树脂混合环境的走线的环境,特别是相对介电系数,不能再被认为是相同的。
一种解决方案是使用编制更紧密的材料。
7.2 过孔电感
在 5.1 中,已经讨论过,电感会引发地弹。如果一个信号从过孔来,经过贴片元件,回到过孔中去,那么最好的做法就盘中孔,最差的做法是在离焊盘很远的地方打过孔,通过走线将过孔与焊盘连接。在焊盘边缘、元件未实际覆盖的地方均匀打多个过孔(比如上、左、右各一个)是更好的选择。
过孔倾向于表现容性,因此它们的阻抗通常会低于走线。解决方法:
- 减小寄生电容,以增加其阻抗;
- 让过孔对于 PCB 其他部分更“透明”。参见 Eric Bogatin, “The 6 Habits of Transparent Via Design” PCD&F, May, 2011
“透明”:
- 去除所有非功能性焊盘;
- 最小化所有捕获焊盘的尺寸;
- 钻孔时,使用尽可能窄的过孔;
- 使用一个带有至少 5mil 环形空间(annulus)的清除孔(clearance hole)。
7.3 短截线与破坏性反射
一般来说,过孔内铜是贯穿的。如果一个表层信号要去到内 1 层,那么从内 1 层到底层部分的过孔覆铜就是一个短截线(残桩),这是一个 Y 形结构。部分信号会进入这个短截线,然后反射回来。更极端的,如果残桩长度正好是半波长,那么在分叉点,反射信号会完全抵消掉正常信号,内层将不再有信号。
解决方法是用背钻,钻掉残桩部分的铜。
受 2.3 的启发,另一种解决方法是:以 BGA 举例,信号层先下到底层,再重回顶层焊盘。不过我们仍需处理端接。因此可以从顶层焊盘再次回到底层,进一步的,再次绕回顶层的 BGA 范围外的空闲区域,最终在顶层端接。

如果一个信号要连到两个 BGA 焊盘时,仍可采用上面的方案。宗旨就是不要有 Y 型走线。信号先进入焊盘 1,再出来,再进入焊盘 2。而不要是从进入焊盘 2 的走线上分出一个分叉,进入焊盘 1。
传统方法仍有用,但需要加倍小心处理。
嵌入式无源元件,比如嵌入式电阻,在端接时可能会很有用。
八、控制走线温度
控制走线温度有两类:
- 稳态温度控制;
- 浪涌电流控制(在走线熔断前,短时间内能通过多大电流)。
8.1 针对温度设计走线
由电阻的决定式,走线电阻与横截面面积 A 成反比。温度变化ΔT 与
用 IPC 图标可以快速得到线宽和温度的关系。对比原始 IPC,(2014 年时的)新标准 IPC-2152 更有参考价值,更保守。
对于过孔,n 个 d 为直径的过孔和一个直径为 n*d 的过孔的效果实际上是一样的。
对于涂层:
- 保型涂层会降低散热效率,使温度偏高;
- 焊料的电阻率通常远高于铜,因此焊料涂层对载流能力的影响微乎其微。
作者根据少量的现有数据,建模并拟合出了一些电流和温度变化间多项式形态的公式。UltraCAD 的计算器里也有这个。
8.2 针对熔断设计走线
示例背景:在灾难性的 20A 电流场景中,系统需要 1.5 秒的关闭时间,需要多宽的走线?
有两个公式:
- W. H. Preece, 皇家学会会刊第 36 期第 464 页,1884 年发表;
- I. M. Onderdonk, Standard Handbook for Electrical Engineers, 12 Ed. McGraw Hill, p. 4-74。
Preece:
i = 电流,安培;d= 线宽, 英寸;k 对铜来说是 10244。
Onderdonk 的简化形式:
i = 电流,安培;A= 线截面面积,平方 mil;T= 时间,秒。
但,这些公式并非为 PCB 研发的。考虑到其历史,必须谨慎使用。没有已知的实验验证过这些公式。
如果走线已经熔断过,应认为其不再可靠,废弃。
九、总结
回顾部分还是直接看视频吧。
为什么要遵循从这里学来的设计规则,其他地方的教学有冲突:
- 确实会存在分歧(比如差分布线);
- 语境;
- 有人确实错了;
- 资源问题。
PCB 还会存在吗?随着芯片集成度越来越高,总有人认为芯片会取代 PCB。作者认为,关键不在于 PCB 上有多少元件,而在于系统内有多少 PCB。作者的老旧电视里有 6 块 PCB,当时人们只看电视。现在,PC 里可能也有 6 块 PCB,但我们还有显示器、机顶盒、音响、路由器……